Laplace Transform - Transient Analysis
“What we know is not much, what we do not know is immense.”
— Pierre-Simon Laplace
Introduction
The Laplace transformation is a mathematical tool that converts functions from the time domain to the complex frequency domain. This method can convert differential equations into simpler algebraic equations, making circuit analysis more manageable.
Definition
The Laplace transform is defined as:
Where:
is the original time domain function is the transformed function in the s-domain (complex frequency variable)
This method works because
Important Note: This transformation is only defined for causal functions, where:
for all can be anything for
Laplace Inverse Transformation
The Laplace inverse transform is defined as:
However, we don’t need to calculate in this manner. Instead, we generally obtain the inverse transform from tables that provide ‘s’ to ‘t’ conversions.
System Analysis
In system analysis, the output in the s-domain is obtained by multiplying the transfer function and input function:

Where:
= Output (response) function = Transfer function = Input (excitation) function
Properties of Laplace Transform
1. Linearity
Forward Transform:
Inverse Transform:
2. Differentiation Property
First derivative:
Second derivative:
General nth derivative:
3. Integration Property
4. Value Theorems
Initial Value Theorem:
Final Value Theorem:
5. Scaling Properties
Time Scaling:
Frequency Scaling:
6. Multiplication by
7. Time Delay
8. Translation in s
Common Excitation Functions
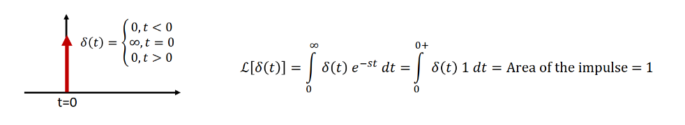
Unit Impulse Function

- Laplace Transform:
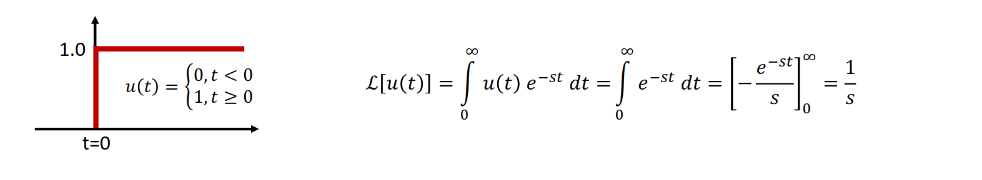
Unit Step Function

- Laplace Transform:
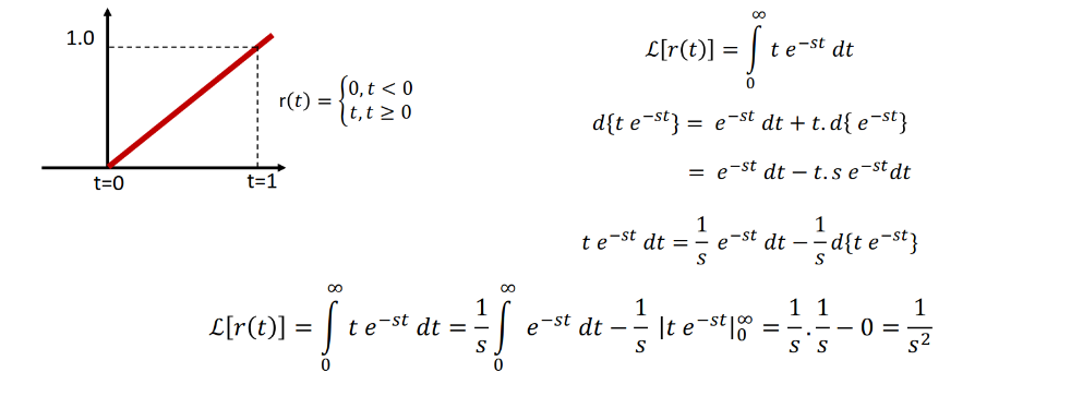
Unit Ramp Function

- Laplace Transform:
Polynomial Function

- Laplace Transform:
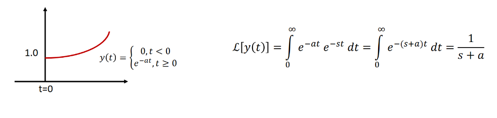
Exponential Function

- Laplace Transform:
Laplace Transform Tables
Basic Functions
| Name | Time Domain Function | Laplace Transform |
|---|---|---|
| Unit Impulse | ||
| Unit Step | ||
| Unit Ramp | ||
| Polynomial | ||
| Exponential | ||
| Sine Wave | ||
| Cosine Wave | ||
| Damped Sine | ||
| Damped Cosine |
Advanced Functions
| Name | Time Domain Function | Laplace Transform |
|---|---|---|
| Sinh Wave | ||
| Cosh Wave | ||
| Damped Sinh | ||
| Damped Cosh | ||
The Laplace Inverse Transformation
The inverse transformation is generally obtained using tables of Laplace transform pairs. Before using the tables, we often need to rearrange the original transfer function in the s-domain using partial fraction expansion.
If the roots of the denominator polynomial are
Example: Partial Fraction Expansion
Find the inverse Laplace transform of:
Step 1: Factor the denominator
Step 2: Partial fraction expansion
Step 3: Solve for coefficients After algebraic manipulation:
Step 4: Inverse transform using tables
Example: Complex Roots
Find the inverse Laplace transform of:
Step 1: Complete the square in denominator
Step 2: Rearrange numerator
Step 3: Inverse transform using tables
Transient Analysis using Laplace Transform
Instead of transforming time-domain differential equations to the s-domain, we can use the s-domain version of Ohm’s law directly to write algebraic equations for circuits.

Circuit Elements in s-Domain
| Element | Time Domain | s-Domain |
|---|---|---|
| Resistor | ||
| Inductor | ||
| Capacitor |
Circuit Analysis Example 1: RL Circuit
Problem: RL Circuit with sinusoidal excitation
- Excitation voltage:
, - Switch closed at
Solution:
Step 1: Transform to s-domain
Step 2: Write circuit equation
Step 3: Substitute values
Step 4: Partial fraction and inverse transform
Circuit Analysis Example 2: RLC Circuit with Initial Conditions
Problem: RLC Circuit with initial conditions
- At steady state (when
): Current through inductor is , Capacitor voltage is - Switch opened at
Step 1: Write s-domain equation with initial conditions
Step 2: Substitute values
Step 3: Solve for
Step 4: Complete the square and inverse transform
Example: Unit Rectangular Pulse
Find the Laplace transform of the unit rectangular pulse:
Definition:
Solution: Using linearity and time-delay properties:
Example: Sinusoidal with Phase
Find the Laplace transform of
Solution: Using linearity property:
The Problem-Solving Process
Step 1: Take the Laplace Transform
Convert your differential equation to the s-domain using transform properties and tables.
Step 2: Algebraic Manipulation
Use initial conditions and algebraic manipulation to solve for
- Partial fraction expansion
- Completing the square
- Factoring polynomials
Step 3: Inverse Transform
Use inverse Laplace transform tables to get
Historical Note
Pierre-Simon Laplace (March 1749 – March 1827) was a French scholar and polymath whose work was important to the development of engineering, mathematics, statistics, physics, and astronomy. Laplace formulated Laplace’s equation and pioneered the Laplace transform, which appears in many branches of mathematical physics. The Laplacian differential operator is also named after him.
Key Advantages
- Simplification: Converts differential equations to algebraic equations
- Complete Solution: Provides both transient and steady-state responses in a single formula
- Initial Conditions: Automatically incorporates initial conditions into the solution
- System Analysis: Enables easy analysis of complex systems using transfer functions